工学部 一般教育科 数学解析研究室
服部 哲也Hattori Tetsuya
准教授
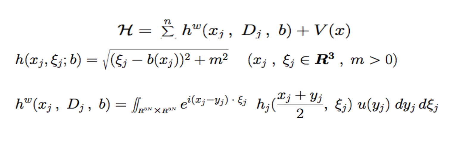
準相対論的作用素(相対論的シュレーディンガー作用素)のスペクトルに関する研究を行なっています。
作用素は磁場を伴う h(¥xi_{j},x_{j},b)=¥{(¥xi_{j}-b(x_{j}))^2+m^2¥}^{1/2} の和をシンボルとする Weyl 型擬微分作用素です。
作用素は磁場を伴う h(¥xi_{j},x_{j},b)=¥{(¥xi_{j}-b(x_{j}))^2+m^2¥}^{1/2} の和をシンボルとする Weyl 型擬微分作用素です。
Theme 主な研究テーマ
- シュレーディンガー作用素のスペクトルの性質
Profile 教員プロフィール
服部 哲也Hattori Tetsuya准教授
専門分野
- シュレーディンガー作用素のスペクトル



